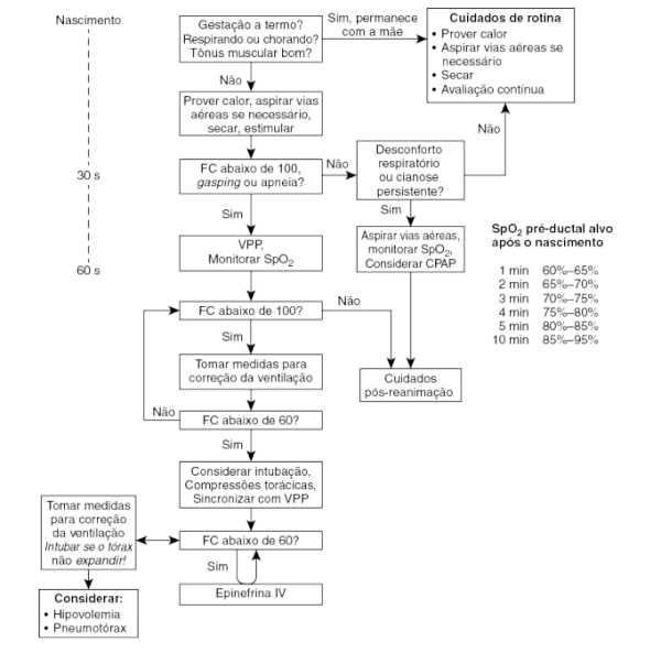
Reanimação neonatal

Existem menções a esta nota nos seguintes artigos:
Onfalocele